發布日期:2022-10-09 點擊率:155
Doherty放大器最重要的特性是負載調制(load modulation),它完美地合成了兩個放大器的不對稱輸出功率。在小功率等級下只有一個放大器(稱為載波放大器,carrier amplifier)以低功率電平工作,并且在相同功率等級下Doherty 功放的效率是采用兩倍大放大器在相同輸出功率等級下所獲得的效率的兩倍。Doherty 功放兩個放大器(第二個稱為峰值放大器(peaking amplifier))以更高的功率電平產生功率,并且由于良好的負載調制特性,載波放大器(carrier amplifier)在該區域中以峰值效率模式工作。該特性提供了對幅度調制信號的有效放大。受載波和峰值放大器的電流比調制的負載可以自我調節,可以實現在兩個輸出功率等級下的峰值效率:其中當峰值放大器(PA,peaking amplifier)剛導通時,載波放大器(CA,carrier amplifier)提供第一個峰值效率,當兩個放大器產生其滿功率時,在這個輸出功率等級下Doherty放大器處于第二個峰值效率點。 Doherty負載調制的另一個重要特性是放大器的總增益是恒定的,既它提供的是線性放大。
圖1.1由電壓和電流源驅動的負載調制電路
最簡單的負載阻抗調制概念說明如圖1.1所示,其中壓控電壓源(VCVS,voltage-controlled voltage source )與壓控電流源(VCCS,voltage-controlled current source)以及負載電阻R并聯.VCVS看到阻抗Z1由電流I2調制,如下面的方程所示:

將電流I2從零變為IR = V1 / R,Z1從R變為∞。在該電路中,VCCS(壓控電流源)調制VCVS(壓控電壓源)的負載阻抗。在Doherty放大器中,使用I2調制Z1的能力被適當地用于跟蹤放大器的最佳阻抗,以在回退輸出功率電平下也能有效地操作。圖1.1中的設置的一個重要特性是整個Doherty系統的線性度僅由壓控電壓源(VCVS,voltage-controlled voltage source )的線性度決定,因為負載兩端的電壓Vout總是等于V1。因此,只要V1與Vin成線性比例,無論I2的值如何,都可以保證線性。為此目的,阻抗Z1應通過指定I2對Vin曲線來跟蹤給定的阻抗曲線與Vin的關系。雖然在數學上很容易定義它,但在實踐中實現給定的I2與Vin曲線可能是一個挑戰。
在負載調制技術中,VCVS和VCCS具有重要作用。前者確保放大器的線性度,而后者用作負載調制器件,其I2對Vin曲線確定VCVS看到的阻抗Z1。這兩個屬性對于Doherty電路配置的推導都很重要。
Doherty放大器使用不同的電路拓撲進行負載調制。它由兩個放大器(兩個電流源)和一個阻抗反相網絡組成,該阻抗反相網絡將一個電流源轉換為電壓源。該轉換放大器稱為載波放大器,另一個電流源放大器稱為峰值放大器。
圖1.2 Doherty放大器的工作圖
圖1.2顯示了分析Doherty放大器電路的操作圖。輸出負載通過阻抗逆變器(四分之一波傳輸線)連接到載波放大器,并直接連接到峰值放大器。在該圖中,峰值功率下載波和峰值放大器的最佳功率匹配阻抗為R0,當峰值放大器關閉時,載波放大器的負載由于兩個放大器的并聯連接而變為R0 / 2 。假設器件的輸出電容器諧振,四分之一波長線的相位延遲在輸入端得到補償。
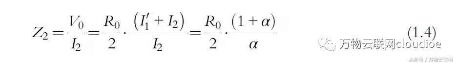
阻抗逆變器的特征阻抗也為R0。載波放大器在Z1‘和Z1處的負載阻抗如圖1.2所示,由下式給出:

其中α= I2 / I1' 方程(1.3)表明表示載波放大器的電流源I1看到的負載阻抗由第二電流源I2調制, I2是峰值放大器的輸出電流。應注意,由于阻抗變化,I1’與I1不同。此外,在正常的Doherty操作中,峰值放大器的電流電平從0變化到I1=Imax,Imax是兩個放大器的最大電流,α從0變為1。通常情況下,I1和I2可以處理相同的電流量,即兩個放大器的相同尺寸器件,當I2 =I1=Imax時,在峰值功率情況下,Z1為R0,因為在峰值功率情況下I1等于I1‘。當I2 = 0時Z1為2R0,且I2介于0和Imax之間變化時,Z1也在兩個值之間變化。這是Doherty負載調制行為,如圖1.3C所示。
因為電流I2為零,因此峰值放大器提供開路負載直到它導通。在導通之后,阻抗Z2也被類似地調制,其由下式給出:
圖1.3 載波和峰值放大器的電流,電壓和負載阻抗形狀:(A)電流曲線,(B)電壓曲線,(C)負載阻抗
負載調制行為也在圖1.3C中描述。載波阻抗從2R0調制到R0,峰值阻抗從無窮大調制到R0。在該圖中,假設每個電流源與輸入電壓成線性比例,并且R0等于晶體管的ROPT,即最佳功率匹配電阻。如圖1.3A所示,由于峰值放大器的C類偏置,I2在中點導通,并且增加到最大值。由于B類偏壓,I1從零柵極電壓線性增加。在該操作中,峰值放大器的跨導應該是載波放大器的跨導的兩倍,這是由于其輸出電壓擺幅的一半用于產生最大電流。為了獲得兩倍大的跨導,峰值放大器應該比載波放大器大兩倍。但在這種情況下,只有一半的峰值電流被利用,浪費了功率生成能力。為了解決這個問題,開發了不均勻的驅動技術,將在后面的文章中介紹。
下一篇: PLC、DCS、FCS三大控
上一篇: 基于嵌入式 RFID 中間